濟南市鴻慷機電設備有限公司位于交通便利的泉城濟南,是全球生產滾動軸承和直線運動產品的領導企業---德國舍弗勒集團在山東的授權代理商。公司專營舍弗勒集團旗下兩大品牌INA軸承和FAG軸承,是一家順應經濟發展需要而誕生的專業化新型高端軸承公司。多年來一直從事軸承的銷售和售后技術支持,在機械行業技術方面有著非常豐富的經驗,今天濟南鴻慷機電進口軸承專家為大家介紹一下軸承的游隙。
游隙是滾動軸承的一個重要指標,也是軸承應用中的一個重要參數。不同的軸承游隙對機械的運行會有不同的影響,所以應按規定選用,不可用錯。今天我們就來談談軸承的游隙。
1、軸承游隙定義及分類

所謂軸承游隙,即指軸承在未安裝于軸或軸承箱時,將其內圈或外圈的一方固定,然后使未被固定的一方做徑向或軸向移動時的移動量。
根據移動方向,可分為徑向游隙和軸向游隙(如上圖所示)。按照游隙的狀態,可以分為設計游隙、原始游隙、安裝游隙和工作游隙。
設計游隙:按理論條件演算得出的理論游隙數值組配值。
原始游隙:軸承安裝前自由狀態時的游隙。原始游隙是由制造廠加工、裝配所確定的。
安裝游隙:也叫配合游隙,是軸承與軸及軸承座安裝完畢而尚未工作時的游隙。由于過盈安裝,或使內圈增大,或使外圈縮小,或二者兼而有之,均使安裝游隙比原始游隙小。
工作游隙:軸承在工作狀態時的游隙,工作時內圈溫升最大,熱膨脹最大,使軸承游隙減小;同時,由于負荷的作用,滾動體與滾道接觸處產生彈性變形,使軸承游隙增大。軸承工作游隙比安裝游隙大還是小,取決于這兩種因素的綜合作用。
2、軸承游隙的重要性
游隙是軸承的一個重要技術參數,它直接影響到軸承的載荷分布、振動、噪音、摩擦、溫升、使用壽命和機械的運轉精度等技術特性。
游隙過大,會引起軸承內部承載區域減小,接觸面應力增大從而使用壽命縮短。過大的游隙還會使軸承運轉精度下降,振動和噪音加大。
游隙過小,可能會在實際運行過程中出現負游隙(過盈)引起摩擦發熱增大,溫升提高,進而有效有效游隙更小或過盈更大,如此惡性循環將導致軸承抱死。
3、軸承的標準游隙及選用
徑向內部游隙代號有一下幾種:
C0:標準游隙代號,此代號一般在軸承型號中省略不做標記。
C2:比標準游隙略小的游隙。
C3:比標準游隙略大的游隙。
C4:比C3游隙略大的游隙。
C5比C4游隙略大的游隙。

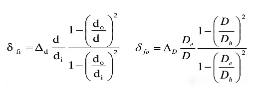
4、軸承工作游隙計算
這里我們所謂的工作游隙就是指軸承在實際運轉中的游隙。假定初始游隙為△0,安裝游隙△r,則有:△r=△0-δfi-δfo
其中δfi為內圈和軸配合引起的游隙減少量;
δfo為外圈和箱體配合引起的游隙減少量;
計算公式如下:

上述兩個表達式中,
△d—內徑和軸配合的過盈量;
d—軸承內徑
di—軸承內圈平均外徑,di=(3D+7d)/10;
d0—空心軸內徑,實心軸d0=0;
△D—外徑和箱體配合的過盈量;
D—軸承外徑
De—軸承外圈平均內徑,De=(7D+3d)/10;
Dh—箱體外徑,對于剛體軸承座取無限大值
軸承實際運轉時,由于溫升和散熱條件的影響,通常內圈溫度會高于外圈溫度,導致游隙變小。假定工作游隙為△e,則有:
△e=△r-δt
其中δt為由于內外圈溫差導致的游隙減少量
δt=α*△T*Do
上式中:
α—軸承鋼的熱膨脹系數,一般取1.12X10^-5 (1/℃)
△T—內外圈溫度差
Do—外圈滾道直徑,對于球軸承Do=(4D+d)/5;對于圓柱滾子軸承Do=(3D+d)/4
根據以上表達式我們就可以求出軸承的實際游隙,進而判斷所選擇的游隙是否合理。
如果您對山東進口軸承、FAG軸承、INA軸承感興趣或者有疑問的話,請點擊聯系我們網頁右側的在線客服,或致電:400-086-9890,山東進口軸承供應商——您全程貼心的采購顧問。
——責任編輯:濟南鴻慷機電設備公司01銷售顧問
版權所有www.showa1.com.cn(濟南鴻慷)轉載請注明出處
